Преди 10 дни се появи информация, че земята и сградите на комплексите „Българска армия” и „Панчарево” са оценени на 32 274 900 лева. Тогава адвокатите на ЦСКА-София обявиха, че не разполагат с подобна информация и документи, но изразиха мнение, че това е прекалено висока цена и според тях тя надхвърля реалната стойност на имотите с около 10 млн. лева.
Поради тази причина Sportal.bg публикува по-съществената част от оценката на експертите, от която става ясно защо и как е определена въпросната сума.
От документите става ясно, че огледът е направен на 10 март 2020 г., а експертизата е разработена към 24 март 2020 година.
Видът на непаричната вноска от 32 274 900 лева са терени и недвижими имоти в Спортен комплекс „Българска армия", на територията на селищно образувание Парк „Борисова градина” и район „Панчарево", местността „Детски град".
Във въпросните документи правят впечатление следните неща. Експертите оценяват земята и имотите на база няколко метода и сравняват цените с тези на околните имоти. Т.е. не може да бъде допусната съществена грешка в ценообразуването, освен ако не е умишлено завишено или занижено. Тъй като стадион „Българска армия” се намира на земя, която е една от най-скъпите в България, то това оскъпява съществено имотите. По Метода на капитализиране на дохода пазарната стойност на земята само на стадиона е 7 702 795 евро, а тази под административната сграда - 1 495 936 евро. 
По Метода на възстановителна стойност стадионът пък е оценен на 11 671 304 евро, а административната сграда – на 1 888 873 евро.
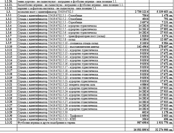
Тук правим вметка, че на „Армията” и „Панчарево” има десетки сгради, а тяхната цена може да видите в таблицата "опис на имотите":

Ето какви са най-важните заключения от стадион „Българска армия”:
В документите подробно е описано всяка сграда в какво състояние е – включително и това на трите тоалетни. Заключението е, че „Сградния фонд е морално и функционално остарял и се нуждае от генерална реконструкция или подмяна”.
Остатъчна експлоатационна годност е 27 години, но има сгради, които е трябвало да бъдат разрушени, тъй като са опасни за хората. Това обаче не е направено.
За Панчарево:
Там нещата изглеждат значително по-добре, става ясно от документите.
„На мястото на стар басейн е изградено ново футболно игрище, което обаче още не е въведено в експлоатация.
Реновирани са съблекалните, бунгалата и двата терена. Трибуните са изцяло обновени, изпълнено е и ново осветление.
На покритата спортна зала е демонтирано покритието. Останалите сгради са в задоволително състояние, но без стрелбището, което е в окаяно състояние и се нуждае от основен ремонт”, е заключението на експертите.
Остатъчна експлоатационна годност на обекта е 43 години.
Стана ясно защо „Армията” и „Панчарево” струват над 32 млн. лева, а не много по-малко (документи)